• Login
  • Register
header logo
4.9/5
  • Samples
  • Ask A Question
  • Feedbacks 4.9/5
  • Pay Here
  • How It Works
  • Prices
  • Free Samples
  • How It Works
  • Ask A Question
  • Feedbacks 4.9/5
  • Pay Here
  • Prices
Study Help Me
Study Help Me
Study Help Me


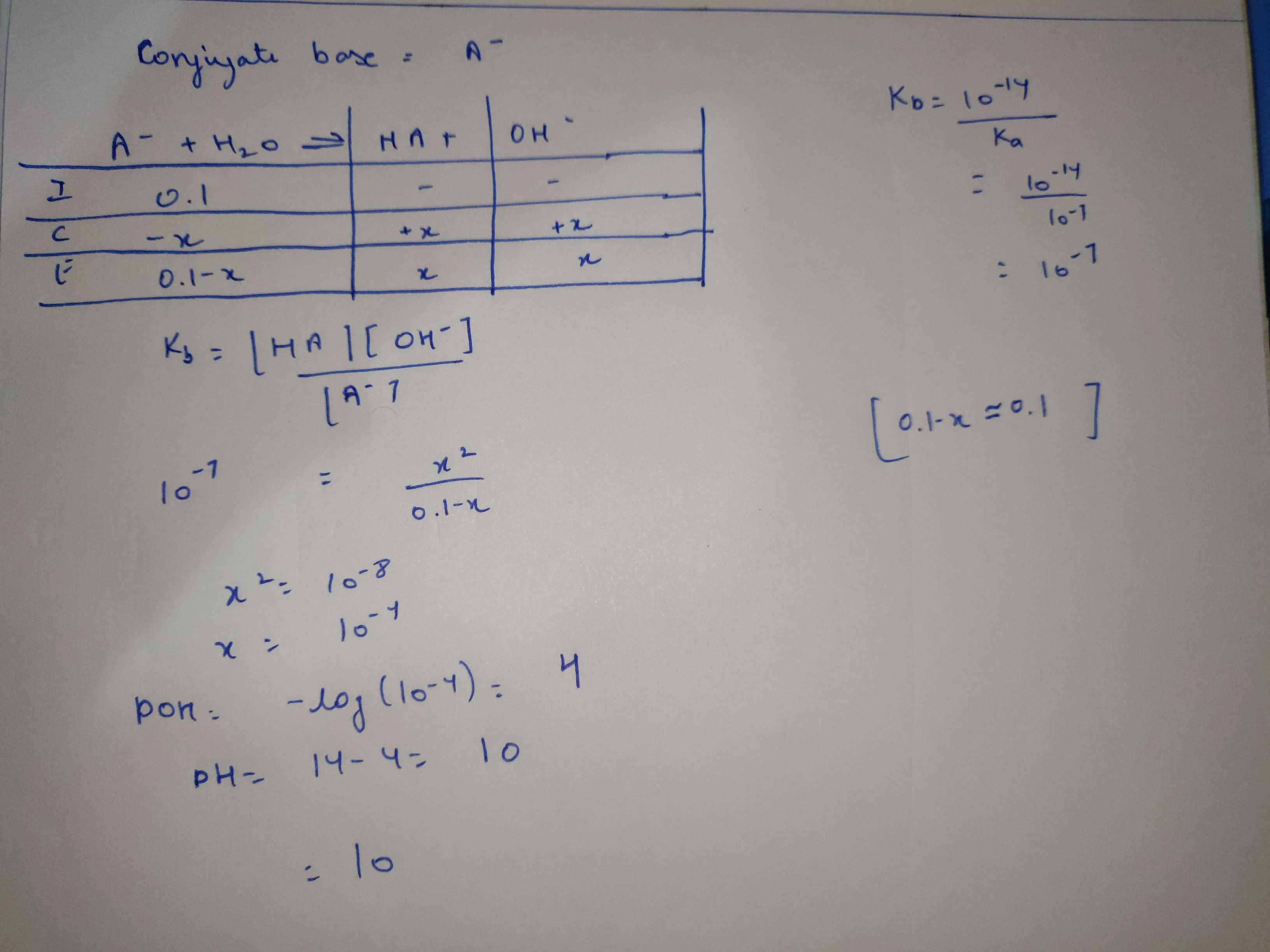
question archive An acid HA has a Ka of 10-7

An acid HA has a Ka of 10-7

Subject:ChemistryPrice:2.86 Bought6

Share With

An acid HA has a Ka of 10-7. The pH of a 0.1 M solution of its conjugate base is:

a) 5

b) 7

c) 10

d) 13

pur-new-sol

Purchase A New Answer

Custom new solution created by our subject matter experts

GET A QUOTE

Answer Preview

PFA

Download Attached File

Sitejabber (5.0)

Merchant Circle (4.8)

Trustpilot (4.6)

Study Help Me (4.9)

Related Questions

  • There are bacteria that live in frigid temperatures in the Arctic Ocean ...
  • Draw the organic products of the following reaction ...
  • 2A sample of ethanol C2HsOH absorbs 23 ...
  • Arrange the following aqueous solutions in order of decreasing boiling point 1 highest boiling 5 lowest boiling ...
  • What is the concentration of a solution made by diluting45mLof6 ...
  • Calculate the solubility of Ag2CO3 ...
  • This week for our discussion I chose topic 2 ...
  • While the numeric values are the same the units convey different information ...
  • a Consider an electrochemical concentration cell for the determination of Cu2 in solution ...
  • You are given 2 ...
Sign In
Study Help Me

minimum 6 characters
  • Don't have an account?Register Now
  • Forgot Password?Reset Password

Please enter your email address and we'll send you instructions on how to reset your password

1-8 Characters
  • Already have an account?Log In
whatsapp

Address

Hamdard Megastore LTD 1,
WickHam Lane, London, SE2 0XZ, England

Phone Number

+44-7309655268

Email Address

support@studyhelpme.com
main logo
QUICK LINKS
  • Words to Minutes Converter
  • Words to Pages Converter
  • Free College GPA Calculator
  • Thesis Statement Generator
  • Article Writer
  • Article Summarizer
  • Grammar Checker
USEFUL LINKS
  • FAQ
  • Refund Policy
  • Terms & Conditions
  • Question Archive
  • Blog
  • About us
  • Contact Us
paymentgateway
Copyright © All rights reserved | Study Help Me