question archive In the analysis of a 2
Subject:ChemistryPrice:3.86 Bought7
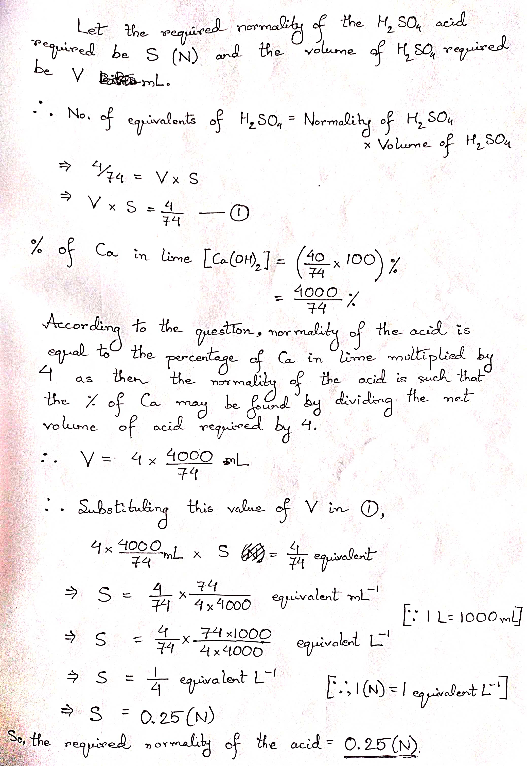
In the analysis of a 2.000 g sample of lime by titration with H2SO4, what must be the normality of the acid so that the percentage of Ca may be found by dividing the net volume of acid required by 4?

Lime means calcium hydroxide Ca(OH)2.
Now, 1 mole of Ca(OH)2 contains 2 moles of OH-. So, 1 mole of Ca(OH)2 means 2 equivalents of Ca(OH)2 .
Molar mass of Ca(OH)2 = (40+2×(16+1)) = 74 g
2 g of lime was provided.
So, no. of moles of lime provided= 2/74 moles
Therefore, no. of equivalents of lime provided= (2/74) × 2 = 4/74 equivalents
Now, to neutralize 4/74 equivalents of Ca(OH)2, 4/74 equivalents of H2SO4 will be required.
Please see the attached file for the complete solution

