question archive Balance the following equation in basic conditions

Balance the following equation in basic conditions

Subject:ChemistryPrice:2.85 Bought3

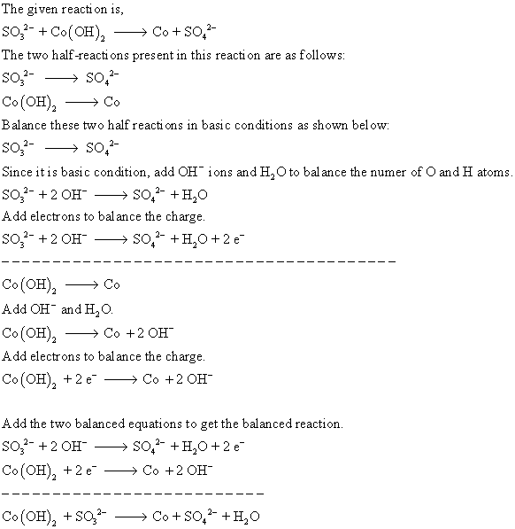
Balance the following equation in basic conditions. Phases are optional. SO3 2- + Co(OH)2 yields Co + SO4 2-

pur-new-sol

Purchase A New Answer

Custom new solution created by our subject matter experts

GET A QUOTE