Subject:PhysicsPrice:9.82 Bought3
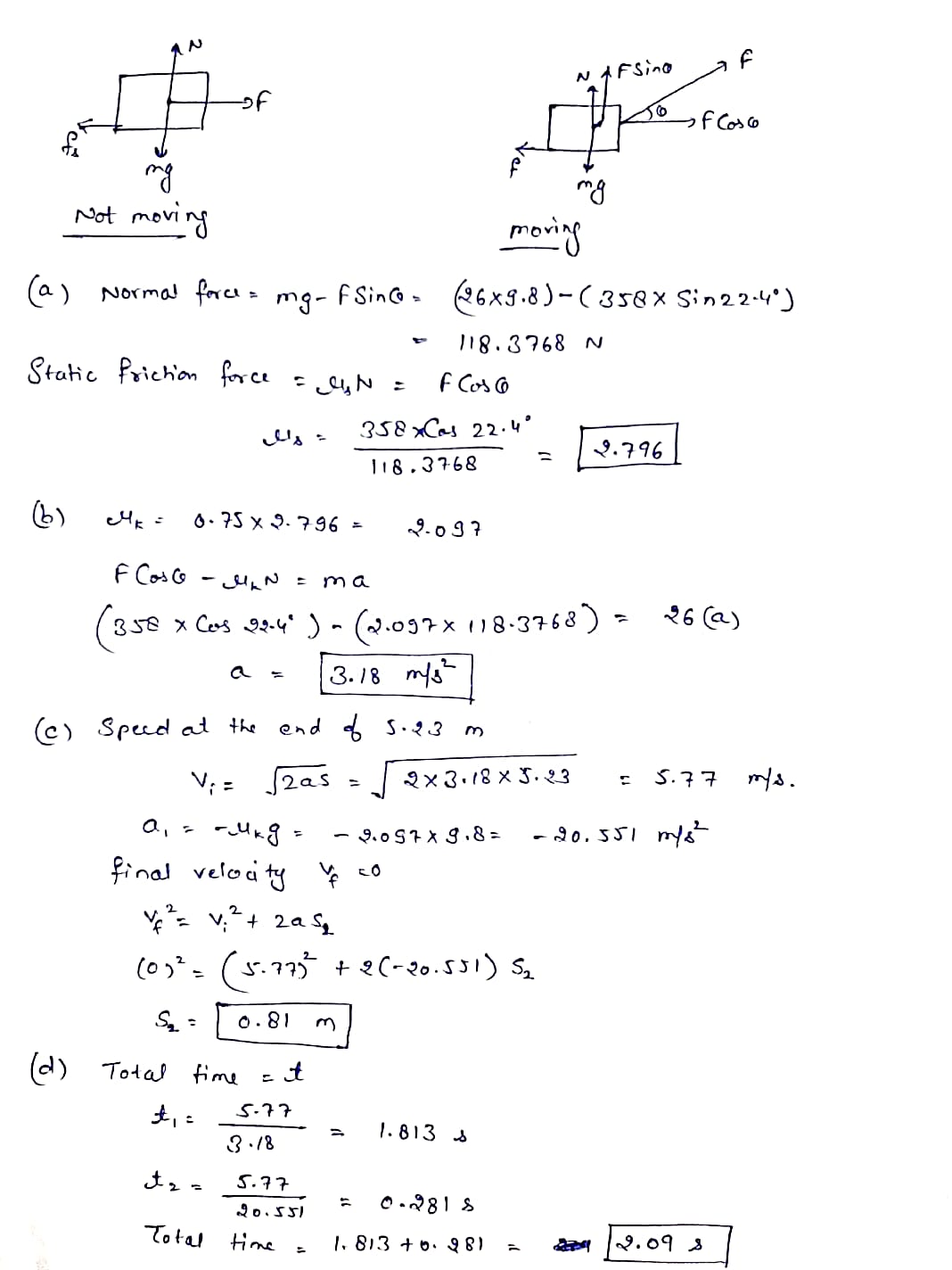
A 26.0 kg crate is sitting at rest on the concrete floor of a warehouse. A worker crouches and tries to pull the crate horizontally with a rope around the crate, but it doesn't move. The worker stands up and applies a 358 N force to the rope around the crate, now pulling it at a 22.4 angle above the horizontal. At first the crate doesn't move, but once the full angled force mentioned earlier is acting on the crate, then it suddenly does start to move. Assume this force is just enough to overcome the static friction of the crate. Draw labelled free body diagrams for each of the + parts of the story where the worker is moving the crate, or even just trying to move the crate (see above and also in the questions below). (a) What is the static friction coefficient of the crate? (b) If the kinetic friction coefficient is 75.0% of the static coefficient you found in (a), then what is the horizontal acceleration of the crate (assume the worker continues to apply the same force at the same angle even after the crate starts moving)? (c) The worker drags the crate 5.23 meters East and then whips the rope off the crate without interfering with its onward movement. How much further will the crate travel until it stops moving again? (d) What is the total time of the crate's movement, from when it first starts moving until it stops again after the rope is removed?

2) a) Coefficient of static friction = 2.796
b) acceleration = 3.18 m/s2
c) Distance = 0.81 m
d) Total time = 2.09 s
AA F N AFSino of of Cosco mg TO my Not moving moving ( a ) Normal force = ma- FSinc. (96x9.8) - ( 358x Sin22-4. ) - 118.3768 N Static friction force = CN = FCosQ U. = 358 x Cas 22.4' 9. 796 118 . 3768 ( 6 ) HK : 0. 75 X 9. 796 = 9097 F Cosco - MAN = ma ( 358 x COS 9 2- 4' ) - (2 097 x 1 18 . 3768 ) = 26 (2) a = 13.18 m/s ( c ) Speed at the end of 5. 23 m V . = J2as = 2x 3 . 18X 5. 23 = 5. 77 my/s. a , - - ukg = - 9.057 * 9.8= - 20. 551 m/s final velocity Va "= v. 2 + 2as, (0)2 = ( 5:775 + 2(-20. 551) 52 0 . 81 m ( d ) Total time = it *, : 5.77 3 .18 = 1. 813 $ 2 = 5.77 20.55 1 Total time = 1.813 +0. 981 9.09 8
please see the attached file for explaination

